国家市场监管总局发布的《中国有机产品认证与有机产业发展(2025)》报告显示:2024年我国有机产品销售额达1247亿元,较2023年增加了231.5亿元,增幅22.79%,成为全球第三大有机消费市场,有机农地总面积维持在350万公顷以上,稳居全球第五大有机农业种植国。
虽然发展潜力大,但也面临生产成本高、认证体系有待完善、产销衔接不畅、消费者认知仍需提升等问题。
在生产端,诸多难题亟待破解:部分有机农场存在土壤肥力衰退、养分供需失衡问题,亩均产量较常规农业低15%-20%;病虫害绿色防控技术不足,导致防治成本高企;土壤肥力大、但养分释放不均等问题,均制约有机农产品产量和品质提升。

近日,北京绿氮生物科技有限公司(以下简称“绿氮生物”)与中国农业大学乔玉辉教授正式签署技术顾问合作协议。
此次合作以双方前期联合开展的《生态农场养分管理技术优化试验》成果为基础,进一步深化活菌技术在生态有机农业领域的应用研究,破解有机产业痛点,为行业高质量发展注入科技动能。

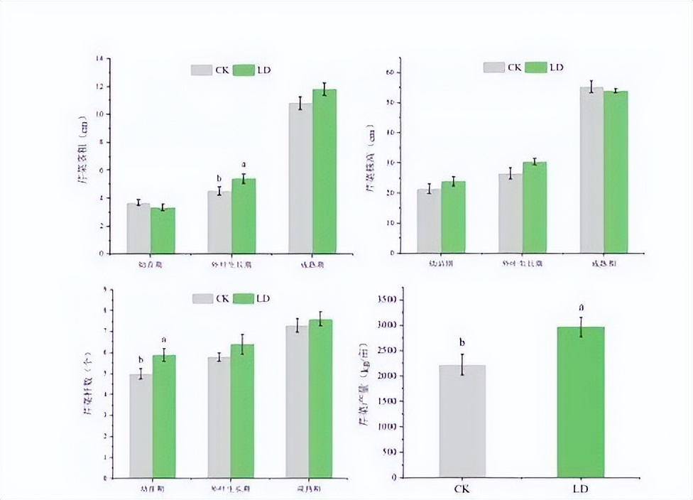
乔玉辉教授长期深耕生态农业与养分管理领域,拥有深厚的学术积累和实战经验。在该项优化试验中,其团队根据农场种植周期科学制定方案、全程跟踪监测数据,绿氮活菌在应用中展现出显著优势:北京密云有机黄瓜种植中、亩增产160kg,增产率达到13.8%;设施芹菜种植克服重茬障碍,增产达 33.18%,净收益提高 38.17%,产投比提升 31.46%,表现出极高的应用价值和经济效益。
有机黄瓜种植难?绿氮活菌“以菌养地”破解四大痛点,亩增产160公斤的硬核实践
“前期的试验成果让我们看到绿氮活菌技术与有机农业需求的高度契合。”乔玉辉教授在签约仪式上表示“有机农业的核心是生态循环,微生物是激活这一循环的关键载体。希望通过合作,让活菌技术不仅能改良土壤、提升品质,更能帮助生态有机农场构建低成本、可持续的生产模式。”
绿氮生物总经理马瑞强博士表示,“乔玉辉教授团队将帮助我们进一步夯实活菌技术帮助有机农场提质增产的内核,进一步揭示功能微生物对作物品质与产量提升的技术机理。”
未来双方将重点围绕三大方向发力:一是开发针对不同作物的活菌施用方案,解决有机种植养分精准供给问题;二是构建‘活菌技术+生态养分管理’一体化方案,降低有机农场投入品成本;三是开展技术培训与示范推广,让更多生态有机农场也能享受到生物科技红利。
11月27日(报道),广东深圳,女子买中药材煲汤,喝完15分钟与丈夫双双瘫倒,像喝醉酒一般意识迷糊、手脚使不上力气,幸被儿子及时送医。疾控:凌霄花中混入曼陀罗花,过量服用易引起中毒,严重会引发死亡。
今天(11月30日),羽毛球运动员黄雅琼、刘雨辰在北京举行婚礼。乒乓球运动员樊振东、马龙、王楚钦录制了祝福视频。樊振东在视频中说:“今天是大喜的日子,在这里祝黄雅琼、刘雨辰新婚快乐、百年好合。”游泳运动员徐嘉余、羽毛球运动员陈雨菲参加了婚礼。这一喜讯很快冲上微博热搜。
揭幕战开始前,全场起立为中国香港大埔宏福苑火灾罹难者默哀一分钟11月30日,2025年成都国际乒联混合团体世界杯在四川省体育馆揭幕。首轮小组赛中,中国队遣上强阵,以8比1战胜中国香港队,取得“开门红”。混团世界杯采用创新赛制,每场比赛均为15局8胜,即先赢8局的队伍获得胜利。
参考消息网11月29日报道据新加坡《联合早报》网站11月29日报道,日本首相涉台言论导致中日两国关系紧张后,滨崎步、和田薰等多名日本艺人在华活动被取消或延期。
11月30日,四川文化艺术学院发布讣告:著名男高音歌唱家,声乐教育家,中央歌剧院一级演员,四川文化艺术学院音乐学院名誉院长马华先生,于2025年11月28日在四川绵阳逝世,享年70岁。
2025年12月1日是第38个“世界艾滋病日”。今年中国宣传活动主题为“社会共治,守正创新,终结艾滋”。11月30日下午,上海市卫生健康委员会、市疾病预防控制局、徐汇区人民政府等在西岸油罐艺术中心,联合开展“2025年世界艾滋病日”主题宣传活动。
你是不是也总是劝说父母“没事多运动”?运动本是为了健康,但若选错了方式,反而伤膝、伤腰,得不偿失!一位来自四川的陈女士(化名),今年60岁,退休后开始迷上韦德国际最新官网了跳广场舞,越跳越起劲儿,每天跳好几小时。
当地时间11月28日清早,数十名乌克兰国家反腐败局和反腐败特别检察官办公室抵达了乌克兰总统办公室主任安德烈·叶尔马克的住宅外。出示执法文件后,他们鱼贯进入,开始了搜证工作。
原来《延禧攻略》的金瞳局中暗害永琪的不是高贵妃,而是纯妃!#吴谨言 #王媛可 #延禧攻略 #了不起的精讲团 #影视经典补完计划